手机 App 已上线
点我下载

孟晚舟的草根奋斗生涯

Tue Jan 08 2019 15:00:56 GMT-0800 (Pacific Standard Time)

cover
图片

孟晚舟

1月30日,是美国正式发出引渡令的最后期限,如果美国不未提出引渡申请,孟晚舟将获得自由,我们衷心期盼孟晚舟平安归来。

——题记

这是一个多事的冬天。

犹豫再三,老兵戴辉鼓足勇气提心吊胆也来到了加拿大旅行。

一路绿灯,海关官员非常的热情:Welcome!

这是一个美丽而宁静的地方。今年是暖冬,居然还没有北京冷。

很多朋友关切地问:去看孟晚舟吗?

我只好苦笑:尽管同在枫叶之国,但一东一西,距离超过4000多公里啊!

孟晚舟和我们一样,是从草根中走出来的。

先从任正非的父亲任摩逊说起。

图片

任摩逊,大名任木生,摩逊是字,火腿师傅的儿子。当年,我在浙江有个本家挺有名:戴笠,字雨农。

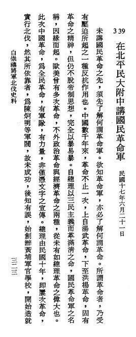
任摩逊所读的北平民大,网络上信息不多,甚至连全称也没有搜到。不过,我找到了这样一则新闻:民国17年(1928年),白崇禧将军在北平民大附中讲演。可见当年民大有相当的规模,还有附属中学。

图片

任摩逊在北京上大学期间,也是一个热血青年,参加学生运动,进行抗日演讲,反对侵华的田中奏章,还参加过共青团。由于父母相继病逝,差一年没有读完大学,辍学回家。(任正非:我的父亲母亲)

任摩逊所学专业为经济,为华为成功关键原因之一的虚拟股权制度提供了初步的设想。

抗战后期的民国时代,任摩逊来到了贵州办学,遇到了一位淳朴的当地姑娘程远昭,有了幸福的家庭。长子任正非,1944年10月25日即出生于贵州。

图片

(据说是任正非小时候的全家合影)

任正非的家人们长期生活的贵州省都匀市。都匀城位于“九溪归一”的剑江河畔,是沅江的源头。碧玉般的剑江水,沿江两岸莺语流花,青山耸翠。有意思的是,沅江就在我的家乡附近汇入滚滚洞庭湖。

君住沅江头,我住沅江尾。

图片

孟晚舟是1972年生人,1990年高中毕业参加高考,和我是一样一样的。

任正非在工程兵部队,她的母亲孟军当时也在部队,父母萍踪不定。

小时候,任晚舟在成都(她姥爷孟东波的工作地)住过,小时候一起玩的邻居小朋友晓彬在我的文章后跟帖:“想起了你小时候的样子,你是很乖的孩子,希望胖胖(晚舟的小名)平安回家!”

孟晚舟在奶奶去世之后写了一篇怀念的文章:

我很小的时候,大约才有五岁,奶奶到成都来接我回贵州读书,那是我印象中第一次看见奶奶。不知道我的父母是不是一直也“望子成龙”,当时我离入学年龄还差两岁,在成都读不了小学,所以只得将我送到贵州奶奶的身边。我记得到了贵州以后,奶奶就马上安排我去都匀三小读一年级。可是那个时候我的确太小了,我的智力还没有发展到小学生的水平,因此每天晚上的数学作业是我最痛苦的事。1+1还好说,两个手指头一比划就出来了;可是碰上10+15的算术题时,我就只得动用家里的筷子来比划了。那个时候奶奶常常笑我:“非非怎么养了这么一个笨女儿!”,即便是这样,她还是不厌不烦地陪我把作业做完。我就是这样在奶奶身边,在那台昏暗的台灯下,开始了我的启蒙教育。

和奶奶在一起最幸福的事,就是跟奶奶上街买糖啦。那个时候远在贵州山区,经济条件非常差,远远比不上我在成都的日子。记得有一次吃晚饭的时候,因为饭桌上没有肉,我一下就钻到桌子底下,把饭桌掀翻,不仅自己不吃,还不让别人吃。奶奶怕苦了我这个不在父母身边的孩子,总是从家里仅有的一点伙食费里挤出一点点,隔三差五地背着我上街去买糖吃。年小的我哪里知道,那个时候家里的经济是多么的不济,我的嘴里多含一块糖,正在长身体的姑姑叔叔们就要少吃一口菜。渐渐长大了,才明白这个道理,所以我能长到今天这样白白胖胖,也得感谢我宽容、善良的姑姑和叔叔们。时到今日,我相信家里的每一个成员都不会忘记奶奶常常念叨的那句话:“奶奶背,上街街,买糖糖”。我就是在奶奶这句质朴的童谣中,渡过了一个又一个想念父母的日子。

第二次到奶奶的身边,已经是初中一年级了(注:1984年)。当时父母是基建工程兵,随着百万大裁军的一声号召,到了杂草丛生的深圳。因为怕影响我和弟弟的功课,便把我们从济南送到了贵州。在济南的时候,读的是农村小学,教学质量非常差,加上我和弟弟整天就在田地里玩,抓蚱蜢、挖野菜,虽然有一个难以忘怀的童年,但也荒芜了学业,所以转读都匀一中后的第一次考试就拿了个倒数第一。那个时候爷爷是都匀一中的校长,奶奶是都匀一中的数学高级教师,我真不知道我的倒数第一给爷爷奶奶带去了怎样的“荣誉”,现在想想真的很惭愧。这也就是我为什么一直想读博士的原因,我一直都希望爷爷奶奶终有一天能以我为傲,就象爸爸1999年在爷爷坟前说的,等我拿到博士毕业证后,一定要记得烧一份给爷爷。

孟晚舟在济南的乡村完成小学学业,原因应该是父母当时在这里工作。父母工作繁忙,也没有时间来辅导她和弟弟任平。

本人弟弟戴斌五岁时,父母没有精力看他,就请农村里的外婆和外公带,他就去小学里混aoeiu了,但等到六七岁才正式发蒙读书。为什么?没有幼儿园。

孟晚舟的奶奶程远昭,任正非曾这样深情地描述:

妈妈其实只有高中文化程度,她要陪伴父亲,忍受各种屈辱,成为父亲的挡风墙,又要照顾我们兄妹七人,放下粉笔就要和煤球为伍,买菜、做饭、洗衣……又要自修文化,完成自己的教学任务,她最后被评为中学的高级教师。

图片

到了高中时候,还是在都匀一中,任晚舟读的是理科班,当时流行一句话:学好数理化,走遍天下都不怕。相信她的专业选择,也与任正非“实业救国”的理念密切相关。

她学习挺认真努力的,成绩在班上一直稳居中游。话说过来,有爷爷这个老校长压阵,每个老师都盯着你,能不努力吗?

图片

从小,任晚舟都是很有美感的人,也是一个注重和同学和同仁保持良好关系的人。她的同学说,任晚舟的父母在深圳,经济条件好一些,但她从不自傲,为人很和气,也很大度。她喜欢戴一副金边眼镜,穿着有格调,一举一动颇有气质,很有女神范,估计有不少男生暗中爱慕,但是老校长家的孙女,没有谁敢造次。

图片

高中的最后一年(1989-90),她来到了当时“杂草丛生”的深圳就读。

我所读的湖南省南县一中,也是省重点。我的母亲是食堂的炊事员(火头军)。好事的同学去妈妈那里打菜,不怕天塌的乱叫乱喊:你的儿子谈恋爱了! 硬将我的暗恋捏死在萌芽之中。

任晚舟怎么变成了孟晚舟呢?孟晚舟曾在2013年接受《21世纪经济报道》记者采访时说:“名字是我自己16岁时自己改的,随我母亲姓。“

1990年7月的7、8、9三天,孟晚舟在深圳参加了高考。

不太远的湖南,我也度过了煎熬的三天。骄阳似火,彻夜难眠!(7月太热,所有近年提前到6月高考。)

通过高考之后正式录取的大中专院校,都统称为大学,很多年都包分配,我们这届是“双向选择”。

孟晚舟录取到了建设银行总行直属的常州财经学校,全日制学习两年。这个学校现在是建行大学华东分院。

图片

这是系统内的学校,分配很好,考进去也殊为不易。 我一个同学高考后就读于省银行学校,就在银行工作至今。

我就读的是湖南省南县一中,是省重点,应届直接考上大中专院校的比例不足20%。而农村的高中,应届生“剃光头”都是可能有的。 当然,当年各地都有明星学校如黄冈中学,相信大部分都可以考上,但那是中考高分招录的精英学生,不能代表普遍的水平。

现在的年轻人很幸福,几乎百分之百都有大学读,只要他愿意。但我们那个时代,却比这难的多。

有人问:应届考不上大学,还有办法接受高等教育吗?

一是重读(复读),俞敏洪和马云都复读了三届。孟晚舟是第一次就录取了,比他们都强。

二是读五大。包括自考、电大、职大、函授和夜大的毕业生。我在中山大学读研究生的时候,教过成人教育学院电子大专班的计算机编程。尽管也是全日制上学,但编制上属于夜大,还要参加一次成人高考(比高考简单)。

1992年,孟晚舟毕业后,来到了深圳市建设银行的一个网点从事细致的基层工作。不巧的很,一年后,这个网点撤销了。

她来到了父亲创立的华为,担任电话接线员,并从事琐碎但重要的行政工作。1997年孟晚舟去了华中理工大学读硕士,学的是会计,一年半学成,进了华为的财务部门,这才真正开始她在华为的职业生涯。

图片

1992年是华为的转折之年,任正非在告别纯粹的代理销售,而是开始了艰苦卓著的用户小交换机的自研,名叫HJD48。从此,开始了华为的”长征”与“远征”。

孟晚舟也在这热血沸腾的时光里,参与了华为的草创,一步步走到今天。

有网友写了一首词:

冬夜忆故人 (作者:尚农淘)

横祸阻断天涯路,昨夜朔风,北美小驻。多少流年忆苦,常泊晚舟,无尽风华处!

几杯焦虑伤心赋,梦断不知,已返家中进户,何日重回逍遥身,再踏天涯路!


分享到微信: 分享
【郑重声明】温哥华天空刊载此文不代表同意其说法或描述,仅为提供更多信息,也不构成任何投资或其他建议。 本网站有部分文章是由网友自由上传,对于此类文章本站仅提供交流平台,不为其版权负责; 部分内容经社区和论坛转载,原作者未知,如果您发现本网站上有侵犯您的知识产权的文章,请及时与我们联络,我们会及时删除或更新作者。谢谢!

精彩评论:

     a 有必要美化她吗?这是谁无聊写这么长一个狗屁文章。她和我们小老百姓有一毛钱关系吗? - 明白人$$ [222] (2019-01-08 16:34:46)
          b 你去和她说:"我支持你,我声援你."她会理你吗?她会看你一眼吗?好好过你的日子,操这些闲心干啥? - 明白人$$ [224] (2019-01-08 16:39:37)
               c 那么多人愿意给她交保释金,难道她出不起吗?只不过这是一个千载难逢的和超级富豪拉上关系的机会 - 明白人$$ [241] (2019-01-08 16:42:14)
     a 不要脸的小人 - 舔腚 [240] (2019-01-08 16:45:32)
     a 她好像结过4次婚?还是有钱任性。那些为她出头的,最好能在报纸上有照片,这个人情任正非必须领。多划算 - 明白人$$ [253] (2019-01-08 16:55:11)
     a 你在胡言亂語什麼 - 他现在住千万豪宅 [228] (2019-01-08 17:02:50)
     a 中國富豪 - 有權在海外發展 [173] (2019-01-09 10:25:53)
     a 任正非的岳父孟东波曾任四川省副省长,他是入赘女婿 - 孟晚舟一直财权在握 [370] (2019-01-09 12:25:45)
     a 什么草根? - 官三代 [226] (2019-01-09 13:21:18)
     a 谁写的文章,恶心死我了。 - 人人喊打的货 [216] (2019-01-09 21:36:28)